Deploying Pexip Infinity on Google Cloud Platform (GCP) Virtual Machines

The Google Compute Engine (GCE) service provides scalable computing capacity in the Google Cloud Platform (GCP). Using GCP eliminates your need to invest in hardware up front, so you can deploy Pexip Infinity even faster.

You can use GCP to launch as many or as few virtual servers as you need, and use those virtual servers to host a Pexip Infinity Management Node and as many Conferencing Nodes as required for your Pexip Infinity platform.

GCP enables you to scale up or down to handle changes in requirements or spikes in conferencing requirements. You can also use the GCP APIs and the Pexip Infinity management API to monitor usage and bring up / tear down Conferencing Nodes as required to meet conferencing demand, or allow Pexip Infinity to handle this automatically for you via its dynamic bursting capabilities.

Pexip publishes disk images for the Pexip Infinity Management Node and Conferencing Nodes. These images may be used to launch instances of each node type as required.

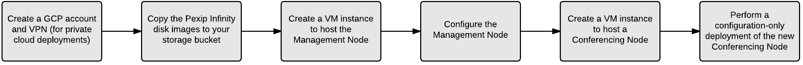
This flowchart provides an overview of the basic steps involved in deploying the Pexip Infinity platform on GCP:

Deployment options

There are three main deployment options for your Pexip Infinity platform when using the Google Cloud Platform:

  • Private cloud: all nodes are deployed within Google Cloud Platform. Private addressing is used for all nodes and connectivity is achieved by configuring a VPN tunnel between the corporate network and GCP. As all nodes are private, this is equivalent to an on-premises deployment which is only available to users internal to the organization.
  • Public cloud: all nodes are deployed within GCP. All nodes have a private address but, in addition, public IP addresses are allocated to each node. The node's private addresses are only used for inter-node communications. Each node's public address is then configured on the relevant node as a static NAT address. Access to the nodes is permitted from the public internet, or a restricted subset of networks, as required. Any systems or endpoints that will send signaling and media traffic to those Pexip Infinity nodes must send that traffic to the public address of those nodes. If you have internal systems or endpoints communicating with those nodes, you must ensure that your local network allows such routing.
  • Hybrid cloud: the Management Node, and optionally some Conferencing Nodes, are deployed in the corporate network. A VPN tunnel is created between the corporate network and GCP. Additional Conferencing Nodes are deployed in GCP and are managed from the on-premises Management Node. The GCP-hosted Conferencing Nodes can be either internally-facing, privately-addressed (private cloud) nodes; or externally-facing, publicly-addressed (public cloud) nodes; or a combination of private and public nodes (where the private nodes are in a different Pexip Infinity system location to the public nodes). You may also want to consider dynamic bursting, where the GCP-hosted Conferencing Nodes are only started up and used when you have reached capacity on your on-premises nodes.

Private, public and hybrid cloud deployment options

All of the Pexip nodes that you deploy in the cloud are completely dedicated to running the Pexip Infinity platform— you maintain full data ownership and control of those nodes.

Recommended instance types and call capacity guidelines

GCP instances come in many different sizes. In general, Pexip Infinity Conferencing Nodes should be considered compute intensive and Management Nodes reflect a more general-purpose workload. Our Server design recommendations also apply to cloud-based deployments.

If available in your region, we recommend Ice Lake as the minimum CPU platform.

For deployments of up to 20 Conferencing Nodes, we recommend using:

  • Management Node: a machine type with 4 vCPUs (or larger), for example:
    • n2-highcpu-4
    • n2-highcpu-8.
  • Transcoding Conferencing Nodes: a machine type with 8 vCPUs and 8 GB memory (or larger), for example:
    • n2-highcpu-8
    • n2-highcpu-16
    • n2-highcpu-32 (should only be used if Ice Lake CPU platform is available).
  • Proxying Edge Nodes: a machine type with 4 vCPUs (or larger), for example:
    • n2-highcpu-4
    • n2-highcpu-8.

This should provide capacity for approximately 16 HD / 35 SD / 300 audio-only calls per Transcoding Conferencing Node.

We recommend that you do not use AMD instance types.

For all available machine types see: https://cloud.google.com/compute/pricing#predefined_machine_types.

Security and SSH keys

An SSH key must be applied to the VM instance that will host the Management Node (in order to complete the installation) and we also recommend applying SSH keys to your VM instances that will host your Conferencing Nodes. Keys can be applied project wide or for a particular VM instance.

The username element of the SSH key must be "admin" or "admin@<domain>" i.e. the key takes the format:
ssh-rsa [KEY_VALUE] admin  or
ssh-rsa [KEY_VALUE] admin@vc.example.com  for example.

You can create key pairs with third-party tools such as PuTTYgen, or you can use an existing SSH key pair but you will need to format the public key to work in Compute Engine metadata (and ensure the username is modified to "admin"). You can also use other key types than rsa, such as ed25519. For more information about using and formatting SSH keys for GCP, see https://cloud.google.com/compute/docs/instances/access-overview and https://cloud.google.com/source-repositories/docs/authentication#ssh.

Note that:

  • When the Management Node has been deployed, you can assign and use your own SSH keys for the Management Node and any Conferencing Nodes — see Configuring SSH authorized keys for details.
  • If you are using a Linux or Mac SSH client to access your instance you must use the chmod command to make sure that your private key file on your local client (SSH private keys are never uploaded) is not publicly viewable. For example, if the name of your private key file is my-key-pair.pem, use the following command: chmod 400 /path/my-key-pair.pem

Google Cloud VPN for private/hybrid cloud deployments

For a private or hybrid cloud deployment, you must configure the Google Cloud virtual private network (VPN) to connect your on-premises network to the Google Cloud Platform.

For full information about how to configure the Google Cloud VPN, see https://cloud.google.com/compute/docs/vpn/overview.

IP addressing

All GCE VM instances are allocated a Primary internal IP (i.e. private) address. You can optionally also assign a static External IP (i.e. public) address to a GCE VM instance. You should assign a public address to all nodes in a public cloud deployment, and to any externally-facing nodes in a hybrid deployment, that you want to be accessible to conference participants located in the public internet.

Pexip Infinity nodes must always be configured with the private IP address associated with its instance, as it is used for all internal communication between nodes. To associate an instance's public IP address with the node, configure that public IP address as the node's Static NAT address (via Platform > Conferencing Nodes).

The private IP address should be used as the Conferencing Node address by users and systems connecting to conferences from the corporate network (via the Google Cloud VPN) in a private or hybrid cloud deployment. When an instance has been assigned an external IP address and that address is configured on the Conferencing Node as its Static Nat address, all conference participants must use that external address to access conferencing services on that node.

Assumptions and prerequisites

These deployment instructions assume that within GCP you have already:

  • signed up to the Google Cloud Platform
  • configured a Google Cloud VPN (for a private or hybrid cloud deployment)

For more information on setting up your Google Cloud Platform Virtual Machines, see https://cloud.google.com/compute/docs/instances/.

Next steps

To deploy and manage your Pexip Infinity platform nodes see: